Определение резервов времени

Страница 2

Стоимость работы зависит от длительности и условий ее выполнения (сменности, технологий1 и др.).

Продолжительность работы, как правило связанная с объемом работы и скоростью ее выполнения, может быть как определенной (детерминированной), так и случайной величиной, задаваемой законом ее

распределения (или плотностью распределения).

Существует два типа работ - с фиксированной продолжительностью и с фиксированным объемом.

Расчет календарного плана по СПУ осуществляется в такой последовательности:

определяется состав всего комплекса работ, их взаимосвязи и очередность выполнения;

составляются первичные и частные сетевые графики, затем «сшиваемые» в сводные;

на основе принятого метода оценок определяется время выполнения каждой работы;

рассчитываются параметры сетевых графиков, самые ранние и поздние сроки начала и окончания работ, продолжительность критического пути, резервы времени событий и работ;

оцениваются все типы ресурсов и потребная сумма ассигнований, распределяемые по этапам работ;

производятся анализ и оптимизация сетевого графика;

разрабатываются мероприятия по сокращению критического пути;

составляется окончательный вариант сетевого графика и с его помощью организуется управление ходом разработки всего комплекса работ, предусматриваемых инвестиционным проектом.

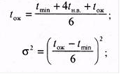
При определении продолжительности отдельных работ за основу расчетов принимается средняя ожидаемая продолжительность каждой работы tож и ее среднеквадратическое отклонение. Для нахождения tож используют три вида оценок времени: минимальную tmin - минимально возможное время выполнения данной работы при благоприятных обстоятельствах, максимальную tmax - максимальное время выполнения данной работы при крайне неудачном стечении обстоятельств; наиболее вероятную tн.в - возможное время выполнения данной работы при наиболее часто встречающихся условиях ее выполнения. При наличии трех оценок используют следующие формулы:

при наличии двух оценок:

Или

(1.5)

Наименьшее значение среднеквадратического отклонения от среднего значения указывает на минимальную ожидаемую продолжительность выполнения работ, наибольшее - на максимальную. Полученные значения средней продолжительности работ заносят в специальную таблицу, по данным которой затем строят сеть.

Расчет параметров сетевого графика, т. е. ранних и поздних сроков начала и окончания работ, продолжительности критического пути, резервов времени событий и работ, как правило, выполняется аналитическим, графическим или табличным методами.

Алгоритм расчета выглядит следующим образом. Ранние сроки начала и окончания работ определяются для каждой работы последовательно слева направо.

Начало одной работы может зависеть от окончания другой. Существует самый ранний срок, когда работа может быть начата, - срок раннего начала.Раннее начало работ, выходящих из исходного события, равно нулю; раннее начало последующей работы равно раннему окончанию предшествующей:

(1.6)

По сути, раннее окончание работы равно раннему ее началу плюс продолжительность самой работы, т. е. срок раннего начала выполнения работы в сумме с ее оценочной продолжительностью составляют время раннего окончания (самую раннюю дату), в которые она может быть завершена:

(1.7)

Если данной работе предшествует несколько работ, то раннее начало равно максимальному значению всех ранних окончаний предшествующих работ.

Работа может зависеть от завершения какого-то элемента, поэтому существует самый поздний срок, когда работа может быть закончена и это не приведет к задержке выполнения всего проекта. Этот срок и есть позднее окончание работы. Вычисляется он как время позднего начала плюс оценочная (т. е. с учетом отклонения) продолжительность, т. е.

(1.8)

Страницы: 1 2 3

Copyright © 2013 - www.Finabalance.ru - Все права защищены