Способы оценки степени риска

Страница 1

Риск, которому подвергается предприятие, - это вероятная угроза разорения или несения таких финансовых потерь, которые могут остановить все дело. Поскольку вероятность неудачи присутствует всегда, встает вопрос о методах снижения риска. Для ответа на этот вопрос необходимо количественно определить риск, что позволит сравнить величину риска различных вариантов решения и выбрать из них тот, который больше всего отвечает выбранной предприятием стратегии риска.

Американский эксперт Б. Берлимер предложил при анализе использовать некоторые допущения:

- потери от риска независимы друг от друга.

- потеря по одному направлению деятельности не обязательно увеличивает вероятность потери по другому (за исключением форс-мажорных обстоятельств).

- максимально возможный ущерб не должен превышать финансовых возможностей участника.

Можно выделить два вида анализа - количественный и качественный.

Качественный анализ позволяет определить факторы и потенциальные области риска, выявить возможные его виды. Количественный анализ направлен на то, чтобы количественно выразить риски, провести их анализ и сравнение [7, 21].

При количественном анализе риска используются статистический метод, анализ целесообразности затрат, методы экспертных оценок, аналогий, оценки платежеспособности и финансовой устойчивости.

Метод экспертных оценок основан на обобщении мнений специалистов-экспертов о вероятностях риска. Принимаются во внимание интуитивные характеристики, основанные на знаниях и опыте каждого эксперта. Экспертные методы позволяют быстро и без больших временных и трудовых затрат получить информацию, необходимую для выработки управленческого решения.

Метод аналогий обычно используется при анализе рисков нового проекта. Проект рассматривается как «живой» организм, имеющий определенные стадии развития. Жизненный цикл проекта состоит из этапа разработки, этапа выведения на рынок, этапа роста, этапа зрелости и этапа упадка. Изучая жизненный цикл проекта, можно получить информацию о каждом этапе проекта, выделить причины нежелательных последствий, оценить степень риска. Однако на практике бывает довольно трудно собрать соответствующую информацию.

Метод оценки платежеспособности и финансовой устойчивости предприятия позволяет предусмотреть вероятность банкротства. Анализируются сведения годовой бухгалтерской отчетности.

Можно оценить вероятность наступления неплатежеспособности предприятия. Основными критериями неплатежеспособности являются коэффициент текущей ликвидности, коэффициент обеспеченности собственными средствами и коэффициент восстановления платежеспособности.

Метод целесообразности затрат позволяет определить нижний предельный размер выпуска продукции, при котором прибыль равна нулю. Производство продукции в объемах меньше критического приносит только убытки. Критический объем производства необходимо оценивать при сокращении выпуска продукции, вызванного падением спроса, сокращением поставок материалов и комплектующих изделий, заменой продукции на новую и другими причинами.

Для проведения соответствующих расчетов все затраты на производство и реализацию продукции подразделяют на переменные (материалы, комплектующие изделия, инструменты, заработная плата, расходы на транспорт и т.д.) и постоянные (амортизационные отчисления, управленческие расходы, арендная плата, проценты за кредит и т.д.).

Критический объем производства можно представить в виде:

Окр=Зпост/(Ц - Зпер)

где Окр - критический объем производства, Ц - цена единицы продукции, 3пост - постоянные затраты, 3пер - переменные затраты.

Чем больше разность между фактическим объемом производства и критическим, тем выше финансовая устойчивость.

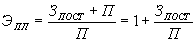
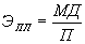
Любое изменение объема производства или уровня продаж оказывает существенное влияние на прибыль (эффект производственного левериджа). Производственный леверидж показывает степень влияния постоянных затрат на прибыль (убытки) при изменениях объема производства.

Производственный леверидж определяется с помощью следующей формулы:

либо

где ЭПЛ - эффект производственного левериджа, МД - маржинальный доход, Зпост - постоянные затраты, П - прибыль.

Чем больше удельный вес постоянных затрат в общей сумме издержек при некотором объеме производства, тем выше производственный леверидж, а следовательно, тем выше предпринимательский риск. Работать с высоким производственным левериджем могут только те предприятия, которые в состоянии обеспечить большие объемы производства и сбыта, имеют устойчивый спрос на свою продукцию.

Статистический метод заключается в изучении статистики потерь и прибылей, имевших место на данном или аналогичном предприятии, с целью определения вероятности события, установления величины риска. Степень, риска измеряется средним ожидаемым значением и колеблемостью возможного результата.

Страницы: 1 2

Copyright © 2013 - www.Finabalance.ru - Все права защищены